各位老师、同学:
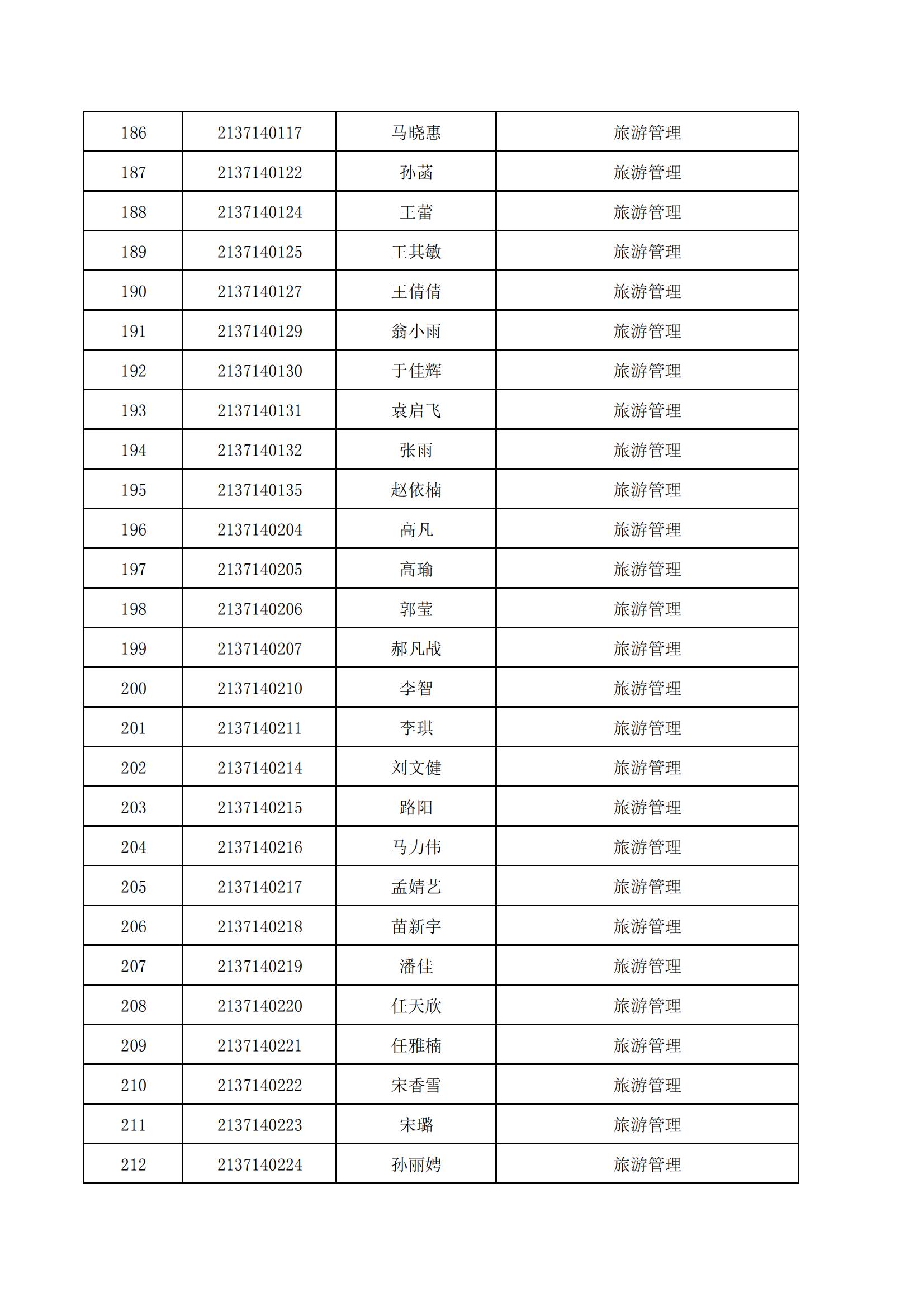
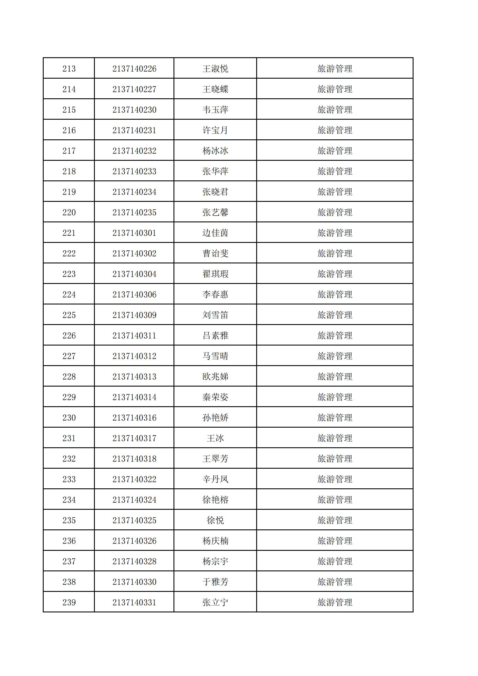
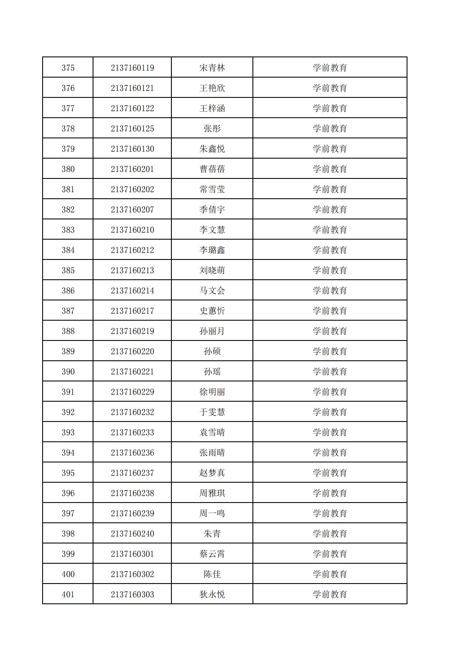
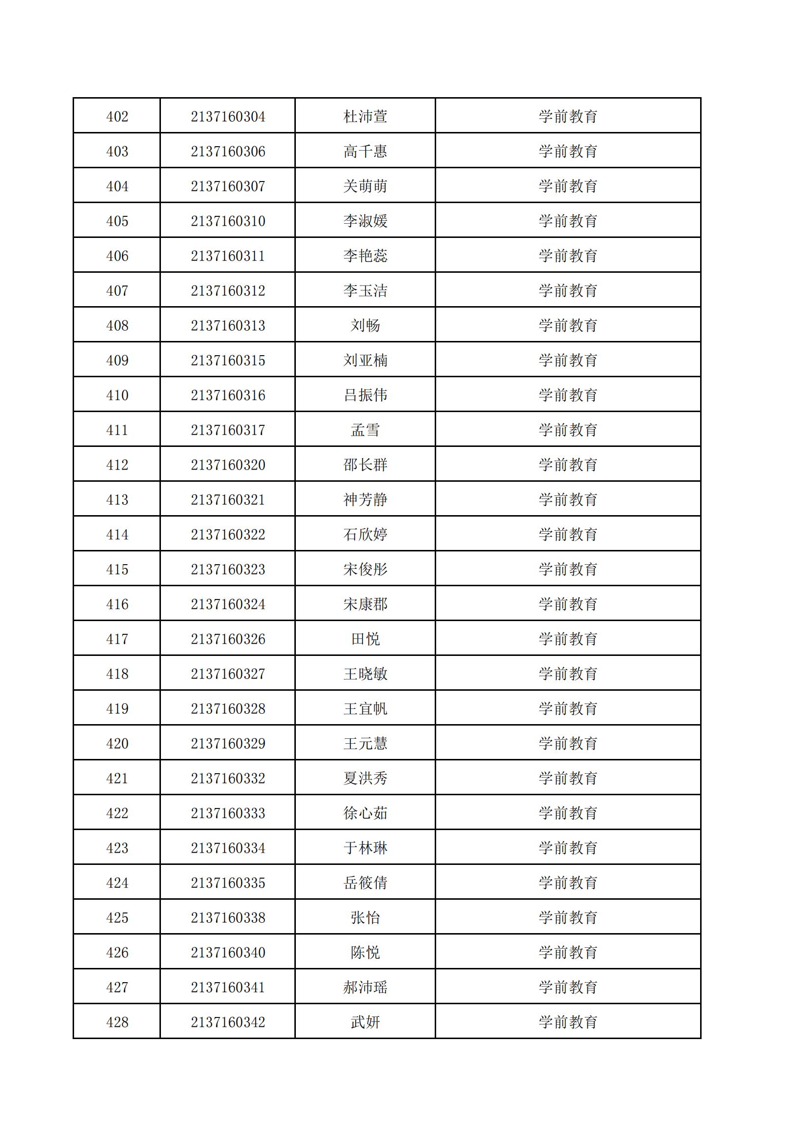
根据《山东省教育厅 山东省人民政府征兵办公室 山东省退役军人事务厅关于做好2024年普通高等教育专科升本科考试招生工作的通知》(鲁教学函〔2023〕26号)和《山东商务职业学院2024年普通专升本考试报名实施方案》的要求等文件精神,经文化旅游学院2024年专升本工作领导小组研究,学院于2023年12月23日--2024年1月7日进行了报名资格审核,最终确定文化旅游学院2024年山东省普通高等教育专升本招生报考资格推荐名单(校荐生),现予以公示(详见附件)。公示日期为2024年1月8日—2024年1月12日。公示期如有异议,请致电文化旅游学院办公室0535-6925579。
未获得推荐资格的同学,可以根据本人毕业专业及《山东省2024年普通高校专升本对应专业指导目录》,报名参加招生高校自主组织的相应专业测试,通过后获得自荐生资格。每所高校的专业测试时间由学校在2024年2月29日—3月6日间自行确定并向社会公布。参加专业测试的考生应于2024年2月26日前按照招生高校相关要求报名参加。每所招生高校的专业测试结果,只能用于报考该校相应专业。考生可根据招生高校专业测试时间安排,选择参加多所高校的专业测试。
文化旅游学院
2024.1.8




















